|
204. Reaction of (Bromodifluoromethyl)trimethylsilane with HMPA: Structural Studies

Supranovich, Vyacheslav I.; Volodin, Alexander D.*; Korlyukov, Alexander A.; Hu, Jinbo; Dilman, Alexander D.* Journal of Fluorine Chemistry 2021, 250, e109881.
|
|
203. Copper-Mediated Cross-Coupling of Diazo Compounds with Sulfinates

Wang, Qian; Liu, An; Wang, Yan; Ni, Chuanfa; Hu, Jinbo* Organic Letters 2021, 23, 6919–6924.
|
|
202. Electrochemical Reduction of Fluoroalkyl Sulfones for Radical Fluoroalkylation of Alkenes

Zhou, Xin; Ni, Chuanfa; Deng, Ling; Hu, Jinbo* Chemical Communications 2021, 57, 8750-8753. (Included into the themed collection: Green Synthesis)
|
|
201. Deoxyfluorination of Alcohols with Aryl Fluorosulfonates

Wang, Xiu; Zhou, Min; Liu, Qinghe; Ni, Chuanfa; Fei, Zhongbo; Li, Wei; Hu, Jinbo* Chemical Communications 2021, 57, 8170–8173 . (X.W., M.Z. and Q.L. contributed equally to this work)
|
|
200. Recent Advance in Synthetic Applications of Difluoromethyl Phenyl Sulfone and Its Derivatives

Jia, Rulong; Wang, Xiu; Hu, Jinbo* Tetrahedron Letters 2021, 75, e153182 (Featured on the cover)
|
|
199. Contemporary Synthetic Strategies in Organofluorine Chemistry

Britton, Robert; Gouverneur, Veronique; Lin, Jin-Hong; Meanwell, Michael; Ni, Chuanfa; Pupo, Gabriele; Xiao, Ji-Chang; Hu, Jinbo* Nature Reviews Methods Primers 2021, 1, 47. https://doi.org/10.1038...
|
|
198. Iron-Catalyzed Fluoroalkylation of Arylborates with Sulfone Reagents: Beyond the Limitation of Reduction Potential

Wei, Zhiqiang; Miao, Wenjun; Ni, Chuanfa;* Hu, Jinbo* Angew. Chem. Int. Ed. 2021, 60, 13597–13602. (Highlighted by Chin. J. Org. Chem.)
|
|
197. A Radical Chlorodifluoromethylation Protocol for Late Stage Difluoromethylation and Its Application to An Oncology Candidate

Meng, Depei; Li, Lingchun; Brown, Adam; Desrosiers, Jean-Nicolas; Duan, Shengquan*; Hayward, Cheryl M.; He, Zhengbiao; Hu, Jinbo*, Makowski, Teresa; Maloney, Mark; Monfette, Sébastien; Perfect, Ha...
|
|
[The preparation of ClCF2SO2Na can be scaled up to hundreds of kilograms]
196. Synthesis of Enantiopure Benzo Fused Cyclic Sulfoximines Through Stereoselective [3+2] Cycloaddition between N-tert-Butanesulfinyl [(2-Pyridyl)sulfonyl]-difluoromethyl Ketimines and Arynes

Rong, Jian; Ni, Chuanfa; Gu, Yucheng; Hu, Jinbo* Helv. Chim. Acta 2021, 104, e2100019 (Invited contribution)
|
|
195. Deoxyfluorination of Carboxylic Acids with CpFluor: Access to Acyl Fluorides and Amides

Wang, Xiu; Wang, Fei; Huang, Fengfeng; Ni, Chuanfa; Hu, Jinbo* Organic Letters 2021, 23, 1764–1768 (Featured by Organic Chemistry Portal)
|
|
194. Nickel-Catalyzed Reductive 2-Pyridination of Aryl Iodides with Difluoromethyl 2-Pyridyl Sulfone

Miao, Wenjun; Ni, Chuanfa; Xiao, Pan; Jia, Rulong; Zhang, Wei; Hu, Jinbo* Organic Letters 2021, 23, 711–715. (Featured by Organic Chemistry Portal)
|
|
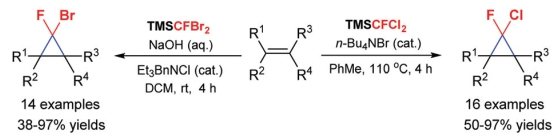
193. TMSCFX2 (X = Cl, Br) as Halofluorocarbene Sources for the Synthesis of Halofluorocyclopropanes

Chen, Dingben; Fan, Zili; Huang, Ling; Gao, Kaili; Xiao, Pan; Ni, Chuanfa; Hu, Jinbo* Chemical Communications 2021,57, 319-322. (Featured on the inside front cover) (Featured by RSCChina) (Featured...
|
|
192. 涉及碳-氟键断裂与重组的氟化重排反应: 由炔丙基氟制备官能团化偕二氟烯丙基化合物 (Fluorinative Rearrangement Involving Cleavage and Recombination of Carbon-Fluorine Bond:

倪传法(Ni, Chuanfa), 胡金波(Hu, Jinbo)* 有机化学 2020, 40, 2997–2998. (邀请述评)
|
|
191. A novel photoredox-active group for the generation of fluorinated radicals from difluorostyrenes

Zubkov, Mikhail O.; Kosobokov, Mikhail D.; Levin, Vitalij V.; Kokorekin, Vladimir A.; Korlyukov, Alexander A.; Hu, Jinbo; Dilman, Alexander D.* Chemical Science 2020, 11, 737–741.
|
|
190. Generation of Carbocations Under Photoredox Catalysis: Electrophilic Aromatic Substitution with 1-Fluoroalkylbenzyl Bromides

Kuang, Cuiwen; Zhou, Xin; Xie, Qiqiang; Ni, Chuanfa; Gu, Yu-Cheng; Hu, Jinbo* Organic Letters 2020, 22, 8670–8675.
|
|
|
|