
上海有机所在主族金属有机化学方向取得研究进展
铝是地壳中含量最丰富的金属元素,传统的三价铝(III)化合物通常作为路易斯酸及催化剂使用。近年来,人们致力于拓展铝(III)的化学反应性,特别是模拟过渡金属的行为,以实现对小分子的活化及催化。
中国科学院上海有机化学研究所王新平研究员近年来致力于发展具有氧化还原活性的NNN张力配体(图1,CN202511323150, CN202511140416.8)。他们利用NNN张力配体合成了一系列高活性主族金属/准金属配合物(Angew. Chem. Int. Ed. 2019, 58, 15829; Organometallics. 2022, 41, 680; Chem. Sci.2023,14, 5722; 14, 5722; Angew. Chem. Int. Ed. 2024, 63,e202406089;Chin. J. Chem. 2026, 44, 861)。课题组开发的此类配体也逐渐被国际同行采用,包括铀和铋金属配合物的合成(Chem. Sci.2025, 16, 16101;Angew.Chem. Int. Ed. 2025, 64, e202515545;J. Am. Chem. Soc. 2026, 148, 925)。近期,他们利用NNN张力配体合成了一例高反应性NNN铝配合物。

图1
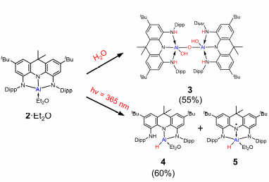
利用NNN 张力配体,在乙醚中与等摩尔的 LiAlH₄反应,生成铝氢化物配合物的锂盐。随后与 [Me₃SiSO₃CF₃] 反应, 得到目标产物 2·Et₂O(图2) 。化合物 2·Et₂O 对空气高度敏感,但可以在手套箱中储存。通过单晶 X 射线衍射和光谱技术确认了其结构。理论计算分子轨道分析表明,其HOMO(-3.69 eV)主要包含铝原子、两个苯环和中心氮原子的贡献,而 LUMO(-1.12 eV)则主要定域在铝中心和两个苯环上。计算得到的单-三线态能隙(ΔEST)为 34.3 kcal/mol。电子自旋密度图显示,在激发三线态中,一个电子定域在铝原子上(0.87 e),另一个电子离域在氮原子和骨架苯环上。 两种共振结构可以描述 2·Et₂O 的电子结构:一种是三价 Al(III) 特征,另一种涉及低价 Al(I) 物种。对化合物 2·Et₂O 简化模型的自然共振理论(NRT)分析进一步证实了其共振结构,其共振杂化体主要由 Al(III)(≈ 66.03%)和 Al(I)(≈ 16.63%)组成。另外,研究团队通过Gutmann-Beckett实验和氟离子亲和力计算,表明该配合物具有较强的路易斯酸性。该化合物独特的电子结构预示着其高反应活性和多样化的化学行为。

图2

图3

图4
这一研究成果不仅展示了一种结构新颖的高活性铝配合物,更重要的是,它证明了通过精心设计的配体环境,主族金属铝也能实现类似过渡金属的复杂反应模式。这种利用配体参与电子转移和协同活化的策略,为主族元素化学在催化、材料科学等领域的应用开辟了新的可能性。
相关工作近期发表于Angew. Chem. Int. Ed.。文章的第一作者是博士研究生何连诚,通讯作者是王新平研究员。该工作得到了国家自然科学基金,中国科学院率先行动计划和中国科学院战略性先导科技专项的支持。
文章信息:
Liancheng He, Shanshan Kong, Wanwan Jia, and Xinping Wang,* A Constraining and Redox-Active Aluminum Species with Diverse Reactivity, Angew. Chem. Int. Ed. (2026): e202524691.https://doi.org/10.1002/anie.202524691
附件下载:

